You need to enable JavaScript to run this app.

Povidone

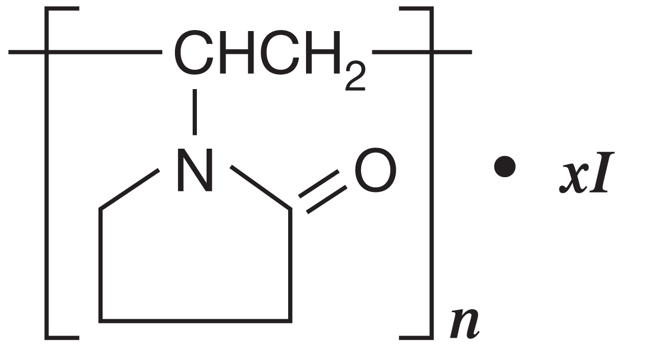
Povidone (polyvinylpyrrolidone, PVP) is used in the pharmaceutical industry as a synthetic polymer vehicle for dispersing and suspending drugs. It also acts as a disintegrant and tablet binder. It appears as white to off-white hygroscopic powder in its pure form and is readily soluble in water. Povidone formulations are widely used in the pharmaceutical industry due to their ability to dissolve in both water and oil solvents. In addition, povidone’s most common use is in the topical povidone-iodine solution, where iodine is released as an antiseptic. Povidone-iodine is often used to prevent surgical incision infections.

Povidone

CAS Number: 9003-39-8; Abbreviations: PVP, PVPP, NVP, PNVP; E number: E1201 (additional chemicals, binder).

TOP