You need to enable JavaScript to run this app.

Sorbitol

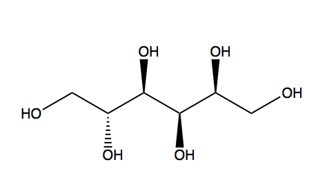
Sorbitol, less commonly known as glucitol is a sugar alcohol with a sweet taste which the human body metabolizes slowly. Most sorbitol is made from potato starch, but it is also found in nature, for example in apples, pears, peaches, and prunes. Sorbitol is an isomer of mannitol. As an over-the-counter drug, sorbitol is used as a laxative to treat constipation. In pharmaceutical applications, sorbitol is used as a tablet diluent in wet granulation or dry compression formulations. It is also found commonly in "sugar-free" chewing gum, and may be used to sweeten pharmaceutical dosage forms such as syrups or chewable tablets, and it is used as a plasticizer for gelatin in capsule formulations.

Sorbitol

D-Sorbitol; D-Glucitol; Sorbogem; Sorbo; CAS Number: 50-70-4; E number: E420 (diluent, thickeners, sweetner, ...)

TOP