You need to enable JavaScript to run this app.

Croscarmellose sodium

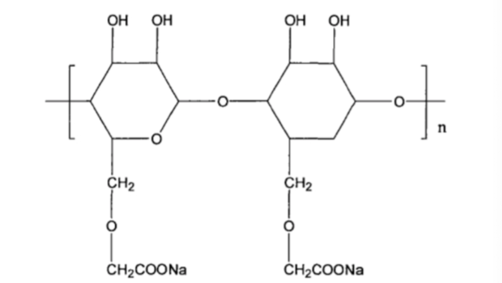
Croscarmellose sodium is an internally cross-linked sodium carboxymethylcellulose (CMC). It appears as white, fibrous, free-flowing powder, and is widely used as an additive in pharmaceutical and non-pharmaceutical industry; in particular, it is used in oral pharmaceutical formulations as a disintegrant for capsules, tablets and granules. Disintegrants facilitate the breakup of a tablet in the intestinal tract after oral administration. Cross-linking allows enhanced bioavailability of the drug through superior drug dissolution. Without a disintegrant, tablets may not dissolve appropriately and may effect the amount of active ingredient absorbed, thereby decreasing effectiveness.

Croscarmellose sodium

CAS number: 74811-65-7; E number: E 468 of crosslinked sodium carboxymethyl cellulose, used in food as an emulsifier and disintegrant in oral pharmaceutical formulations.

TOP