You need to enable JavaScript to run this app.

Sodium starch glycolate

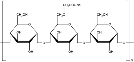
Sodium starch glycolate is the sodium salt of carboxymethyl ether. Starch glycolates are of rice, potato, wheat or corn origin. Sodium starch glycoate is a white to off-white, tasteless, odorless, relatively free flowing powder. Sodium starch glycolate is used as a pharmaceutical grade dissolution excipient for tablets and capsules. Sodium starch glycolate absorbs water rapidly, resulting in swelling which leads to rapid disintegration of tablets and granules. It is used as a disintegrant, a suspending agent and as a gelling agent. Without a disintegrant, tablets may not dissolve appropriately and may effect the amount of active ingredient absorbed, thereby decreasing effectiveness.

Sodium starch glycolate

CAS number: 9063-38-1. It is a superdisintegrant for swallowable tablets, orally dispersible tablets and hard capsules. The usual concentration employed is between 2% and 8%.

TOP